27.10.2019 更新:
这篇文章是在无知者无畏的精神下完成的,并没有切中要害。
不过虽然解释的出发点歪到了姥姥家,但并不算错,而且这种理解方式似乎对新手来说很友好,还得到了几个好评……
另外记录某个时期自己的局限也算是博客的意义之一,所以就不删除遮羞了。
但强烈建议同为新手的你读完之后再去了解下reference、指针等概念,那才是这篇文章中所有 copy 行为的根源。回头再写,共勉 :)
copy 和 deep copy 是前两天让我特别迷惑的两个 Python 概念。今天下决心花时间搞懂了两者的区别,更重要的是通过它们认识了 Python 存储数据的一些有趣特点。

虽然第一次听说 Python 中的 copy 与 deep copy 是作为 copy 模块中的两个 method。但它们其实是 OOP 语言中常见的概念。这里只说 Python,其他语言不了解。
Python 的 copy 模块中的
copy()method 其实是与 deep copy 相对的 shallow copy。copy.copy(object)就等于是对 object 做了 shallow copy。
先说结论:
- 对于简单的 object,用 shallow copy 和 deep copy 没区别:
>>> import copy
>>> origin = 1
>>> cop1 = copy.copy(origin)
#cop1 是 origin 的shallow copy
>>> cop2 = copy.deepcopy(origin)
#cop2 是 origin 的 deep copy
>>> origin = 2
>>> origin
2
>>> cop1
1
>>> cop2
1
#cop1 和 cop2 都不会随着 origin 改变自己的值
>>> cop1 == cop2
True
>>> cop1 is cop2
True
也就是说,如果你改变原 object 的子 list 中的一个元素,你的 copy 就会跟着一起变。这跟我们直觉上对「复制」的理解不同。
看代码更容易理解些:
>>> import copy
>>> origin = [1, 2, [3, 4]]
#origin 里边有三个元素:1, 2,[3, 4]
>>> cop1 = copy.copy(origin)
>>> cop2 = copy.deepcopy(origin)
>>> cop1 == cop2
True
>>> cop1 is cop2
False
#cop1 和 cop2 看上去相同,但已不再是同一个object
>>> origin[2][0] = "hey!"
>>> origin
[1, 2, ['hey!', 4]]
>>> cop1
[1, 2, ['hey!', 4]]
>>> cop2
[1, 2, [3, 4]]
#把origin内的子list [3, 4] 改掉了一个元素,观察 cop1 和 cop2
可以看到 cop1,也就是 shallow copy 跟着 origin 改变了。而 cop2 ,也就是 deep copy 并没有变。
似乎 deep copy 更加符合我们对「复制」的直觉定义: 一旦复制出来了,就应该是独立的了。如果我们想要的是一个字面意义的「copy」,那就直接用 deep_copy 即可。
那么为什么会有 shallow copy 这样的「假」 copy 存在呢? 这就是有意思的地方了。
Python 与众不同的变量储存方法
Python 存储变量的方法与其说是把值赋给变量,不如说是给变量建立了一个到具体值的 reference。
当在 Python 中 a = something 应该理解为给 something 贴上了一个标签 a。当再赋值给 a 的时候,就好象把 a 这个标签从原来的 something 上拿下来,贴到其他对象上,建立新的 reference。 这就解释了一些 Python 中可能遇到的诡异情况:
>>> a = [1, 2, 3]
>>> b = a
>>> a = [4, 5, 6] //赋新的值给 a
>>> a
[4, 5, 6]
>>> b
[1, 2, 3]
# a 的值改变后,b 并没有随着 a 变
>>> a = [1, 2, 3]
>>> b = a
>>> a[0], a[1], a[2] = 4, 5, 6 //改变原来 list 中的元素
>>> a
[4, 5, 6]
>>> b
[4, 5, 6]
# a 的值改变后,b 随着 a 变了
上面两段代码中,a 的值都发生了变化。区别在于,第一段代码中是直接赋给了 a 新的值(从 [1, 2, 3] 变为 [4, 5, 6]);而第二段则是把 list 中每个元素分别改变。
而对 b 的影响则是不同的,一个没有让 b 的值发生改变,另一个变了。怎么用上边的道理来解释这个诡异的不同呢?
首次把 [1, 2, 3] 看成一个物品。a = [1, 2, 3] 就相当于给这个物品上贴上 a 这个标签。而 b = a 就是给这个物品又贴上了一个 b 的标签。

第一种情况:
a = [4, 5, 6] 就相当于把 a 标签从 [1 ,2, 3] 上撕下来,贴到了 [4, 5, 6] 上。
在这个过程中,[1, 2, 3] 这个物品并没有消失。 b 自始至终都好好的贴在 [1, 2, 3] 上,既然这个 reference 也没有改变过。 b 的值自然不变。

第二种情况:
a[0], a[1], a[2] = 4, 5, 6 则是直接改变了 [1, 2, 3] 这个物品本身。把它内部的每一部分都重新改装了一下。内部改装完毕后,[1, 2, 3] 本身变成了 [4, 5, 6]。
而在此过程当中,a 和 b 都没有动,他们还贴在那个物品上。因此自然 a b 的值都变成了 [4, 5, 6]。

这部分搞明白了之后再去看 copy 的区别就容易多了。
言归正传,Copy时候到底发生了什么
最初对 copy 产生疑惑,是有一次想对一个复杂的 list 遍历并且做修改。
这种情况下,最好先建立一个 copy 出来:
If you need to modify the sequence you are iterating over while inside the loop (for example to duplicate selected items), it is recommended that you first make a copy. Iterating over a sequence does not implicitly make a copy.
于是想当然用了 copy.copy()。结果却发现本体与 copy 之间并不是独立的。有的时候改变其中一个,另一个也会跟着改变。也就是本文一开头结论中提到的情况:
>>> import copy
>>> origin = [1, 2, [3, 4]]
#origin 里边有三个元素:1, 2,[3, 4]
>>> cop1 = copy.copy(origin)
>>> cop2 = copy.deepcopy(origin)
>>> cop1 == cop2
True
>>> cop1 is cop2
False
#cop1 和 cop2 看上去相同,但已不再是同一个object
>>> origin[2][0] = "hey!"
>>> origin
[1, 2, ['hey!', 4]]
>>> cop1
[1, 2, ['hey!', 4]]
>>> cop2
[1, 2, [3, 4]]
#把origin内的子list [3, 4] 改掉了一个元素,观察 cop1 和 cop2
官方解释是这样的:
The difference between shallow and deep copying is only relevant for compound objects (objects that contain other objects, like lists or class instances):
A shallow copy constructs a new compound object and then (to the extent possible) inserts references into it to the objects found in the original.
A deep copy constructs a new compound object and then, recursively, inserts copies into it of the objects found in the original.
两种 copy 只在面对复杂对象时有区别,所谓复杂对象,是指对象中含其他对象(如复杂的 list 和 class)。
由 shallow copy 建立的新复杂对象中,每个子对象,都只是指向自己在原来本体中对应的子对象。而 deep copy 建立的复杂对象中,存储的则是本体中子对象的 copy,并且会层层如此 copy 到底。
这个解释看上去略抽象。

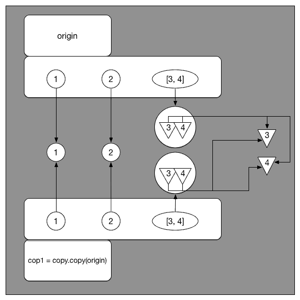
先看这里的 shallow copy。 如图所示,cop1 就是给当时的 origin 建立了一个镜像。origin 当中的元素指向哪, cop1 中的元素就也指向哪。这就是官方 doc 中所说的 inserts references into it to the objects found in the original 。

这里的关键在于,origin[2],也就是 [3, 4] 这个 list。根据 shallow copy 的定义,在 cop1[2] 指向的是同一个 list [3, 4]。那么,如果这里我们改变了这个 list,就会导致 origin 和 cop1 同时改变。这就是为什么上边 origin[2][0] = "hey!" 之后,cop1 也随之变成了 [1, 2, ['hey!', 4]]。

再来看 deep copy。 从图中可以看出,cop2 是把 origin 每层都 copy 了一份存储起来。这时候的 origin[2] 和 cop2[2] 虽然值都等于 [3, 4],但已经不是同一个 list了。

既然完全独立,那无论如何改变其中一个,另一个自然不会随之改变。
